
【Java】集合(一) | HashMap
Java 中有哪些集合类?
Java 中的集合类主要分为两大类:Collection 接口和 Map 接口。Collection 接口下又分为 List、Set 和 Queue 接口。每个接口有其具体实现类。以下是主要的集合类:
List 接口:
- ArrayList:基于动态数组,查询速度快,插入、删除慢。
- LinkedList:基于双向链表,插入、删除快,查询速度慢。
- Vector:线程安全的动态数组,类似于 ArrayList,但开销较大(加了
synchronized)。 - CopyOnWriteArrayList:线程安全的动态数组,但所有可变操作(如 add()、set() 等)都会创建一个新的数组(写实复制)。
Set 接口:
- HashSet:基于哈希表,元素无序,不允许重复。
- LinkedHashSet:基于链表和哈希表,维护插入顺序,不允许重复。
- TreeSet:基于红黑树,元素有序,不允许重复。
所以网上有些说 Set 是无序集合非常不准确,因为需要看具体的实现类。
Queue 接口:
- PriorityQueue:基于优先级堆,元素按照自然顺序或指定比较器排序。
- LinkedList:可以作为队列使用,支持 FIFO(先进先出)操作。
Map 接口:
- HashMap:基于哈希表,键值对无序,不允许键重复。
- LinkedHashMap:基于链表和哈希表,维护插入顺序,不允许键重复。
- TreeMap:基于红黑树,键值对有序,不允许键重复。
- Hashtable:线程安全的哈希表,不允许键或值为 null。
- ConcurrentHashMap:线程安全的哈希表,适合高并发环境。
Java 中 HashMap 的实现原理是什么?
HashMap 基于哈希表的数据结构实现,允许存储键值对,并且通过键快速访问对应的值。
它内部使用数组和链表(在 Java 8 及以后还可以使用红黑树)来存储元素,每个数组槽位(bucket)对应一个链表或红黑树。
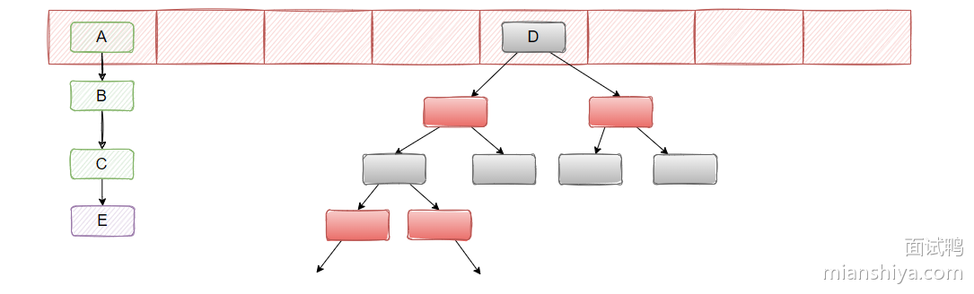
数组内的元素保存了 key 和 value。当要塞入一个键值对的时候,会根据一个 hash 算法计算 key 的 hash 值,然后通过数组大小 n-1 & hash 值之后,得到一个数组的下标,然后往那个位置塞入这键值对。
为了解决键值对冲突的问题,采用了链表法,如下图所示:
在 JDK1.7 及之前链表的插入采用的是头插法,即在链表的头部插入新的键值对。
在 JDK1.8 的时候,改成了尾插法,并且引入了红黑树。
当链表的长度大于 8 且数组大小大于等于 64 的时候,就把链表转化成红黑树,当红黑树节点小于 6 的时候,又会退化成链表。
Java 中 HashMap 的扩容机制是怎样的?
在 HashMap 中有阈值的概念,比如我们设置一个 16 大小的 map,那么默认的阈值等于 16 * 0.75 = 12。
也就是说,如果 map 中元素的数量超过 12,那么就会触发扩容。
扩容的时候,默认会新建一个数组,新数组的大小是老数组的两倍。
然后将 map 内的元素重新 hash 映射搬运到新的数组中。
因为数组的长度是 2 的 n 次方,所以假设以前的数组长度(16)二进制表示是 010000,那么新数组的长度(32)二进制表示是 100000,这个应该很好理解吧?
它们之间的差别就在于高位多了一个 1,而我们通过 key 的 hash 值定位其在数组位置所采用的方法是 (数组长度-1) & hash(与运算)。我们还是拿 16 和 32 长度来举例:
16-1=15,二进制为 001111 |
所以重点就在 key 的 hash 值的从右往左数第五位是否是 1,如果是 1 说明需要搬迁到新位置,且新位置的下标就是原下标+16(原数组大小),如果是 0 说明吃不到新数组长度的高位,那就还是在原位置,不需要迁移。
所以,我们刚好拿老数组的长度(010000)来判断高位是否是 1,这里只有两种情况,要么是 1 要么是 0 。
为什么 HashMap 在 Java 中扩容时采用 2 的 n 次方倍?
哈希分布均匀性
如果数组容量为 2 的 n 次方,那么 n - 1 后低位都是 1 ,此时进行 & (两个位都为 1 时,结果才为 1)运算可以确保哈希码的最低几位均匀分布。
比如 64 二进制表示为 0100 0000,64 - 1 = 0011 1111。
此时 0011 1111 与哈希码进行 & 运算,低位能均匀的反应出哈希码的随机性。
假设来个 0100 0000 与哈希码进行 & 运算,那么低位得到的值就都是 0 了,随机性很差,都是冲突。
性能
正常情况下,如果基于哈希码来计算数组下标,我们想到的都是 %(取余)计算。例如数组长度为 5 ,那么哈希码 % 5 得到的值就是对应的数组下标。
但相比于位运算而言,效率比较低,所以推荐用位运算,而要满足 i = (n - 1) & hash 这个公式,n 的大小就必须是 2 的 n 次幂。即:当 b 等于 2 的 n 次幂时,a % b 操作等于 a & ( b - 1 )
为什么 Java 中 HashMap 的默认负载因子是 0.75?
设置 0.75 是因为空间和时间上的平衡。
较低的负载因子(例如 0.5)会导致 HashMap 需要频繁扩容,空间利用率就低。不过因为冲突少,查找效率就高,但是因为扩容频繁会增加 rehashing 的开销。
较高的负载因子(例如 1.0)会减少扩容次数,空间利用率高了,但会增加哈希冲突的概率,从而降低查找效率。
经过大量实践,0.75 被认为是大多数场景下比较合适的值,能够在时间和空间之间取得良好的平衡。
所以设置了 0.75。
JDK 1.8 对 HashMap 进行了哪些改动?(不含红黑树)
主要有以下几个方面:
- hash 函数的优化
- 扩容 rehash 的优化
- 头插法和尾插法
- 插入与扩容时机的变更
hash 函数的优化
1.7 的操作太多了,经历了四次异或,所以 1.8 优化了下,它将 key 的哈希码的高 16 位和低 16 位进行了异或,得到的 hash 值同时拥有了高位和低位的特性,使得哈希码的分布更均匀,不容易冲突。
扩容 rehash 的优化
按照我们的思维,正常扩容肯定是先申请一个更大的数组,然后将原数组里面的每一个元素重新 hash 判断在新数组的位置,然后一个一个搬迁过去。
在 1.7 的时候就是这样实现的,然而 1.8 在这里做了优化,关键点就在于数组的长度是 2 的次方,且扩容为 2 倍。
在扩容过程中,节点被分布到新的桶中时,不再需要重新计算 hash,而是利用了原桶的位置和新桶的二进制位关系,来快速确定新桶的位置。
头插法和尾插法
1.7 是头插法,头插法的好处就是插入的时候不需要遍历链表,直接替换成头结点,但是缺点是扩容的时候会逆序,而逆序在多线程操作下可能会出现环,然后就死循环了。
然后 1.8 是尾插法,每次都从尾部插入的话,扩容后链表的顺序还是和之前一致,所以不可能出现多线程扩容成环的情况。
插入与扩容时机的变更
1.7 是先判断 put 的键值对是新增还是替换,如果是替换则直接替换,如果是新增会判断当前元素数量是否大于等于阈值,如果超过阈值且命中数组索引的位置已经有元素了,那么就进行扩容。
所以 1.7 是先扩容,然后再插入。
而 1.8 则是先插入,然后再判断 size 是否大于阈值,若大于则扩容。
为什么 JDK 1.8 对 HashMap 进行了红黑树的改动?
主要是避免 hash 冲突导致链表的长度过长,这样 get 的时候时间复杂度严格来说就不是 O(1) 了,因为可能需要遍历链表来查找命中的键值对。
那么为什么定义链表长度为 8 且数组大小大于等于 64 才转红黑树?不要链表直接用红黑树不就得了吗?
因为红黑树节点的大小是普通节点大小的两倍,所以为了节省内存空间不会直接只用红黑树,只有当节点到达一定数量才会转成红黑树,这里定义的是 8。
为什么是 8 呢?这个其实 HashMap 注释上也有说的,和泊松分布有关系。
简单翻译下就是在默认阈值是 0.75 的情况下,冲突节点长度为 8 的概率为 0.00000006,也就概率比较小(毕竟红黑树耗内存,且链表长度短点时遍历的还是很快的)。
这就是基于时间和空间的平衡了,红黑树占用内存大,所以节点少就不用红黑树,如果万一真的冲突很多,就用红黑树,选个参数为 8 的大小,就是为了平衡时间和空间的问题。
为什么节点小于等于 6 要从红黑树转成链表?
链表树化的节点是 8,除此之外,当树节点数小于等于 6 时候,又会从红黑树转为链表。
这个操作是为了平衡时间和空间,节点太少链表遍历也很快,没必要成红黑树,变成链表节约内存。
为什么定了 6 而不是小于等于 8 就变?
是因为要留个缓冲余地,避免反复横跳。举个例子,一个节点反复添加,从 8 变成 9 ,链表变红黑树,又删了,从 9 变成 8,又从红黑树变链表,再添加,又从链表变红黑树?
所以余一点,毕竟树化和反树化都是有开销的。
使用 HashMap 时,有哪些提升性能的技巧?
1)合理设置初始容量:
如果在使用时可以预估 HashMap 存储的数据量大小,那么需要在创建时设置一个合适的初始容量,以避免频繁的扩容操作。
Java 中 HashMap 默认初始容量是 16。
2)调整负载因子:
官方提供的默认负载因子是 0.75。
可以根据具体应用场景调整这个值。较低的负载因子会减少冲突,提高查找效率,但会占用更多内存。较高的负载因子则会减少内存消耗,但可能增加冲突的概率,降低查找效率。
3)确保 hashCode 均匀分布:
对应 key 的 hashCode() 方法生成的哈希值需均匀分布,减少哈希冲突。避免使用质量不高的哈希函数,防止大量键映射到相同的槽位上,造成性能瓶颈。
其他优化
例如需要保留元素的插入顺序,则可以使用 LinkedHashMap替换 HashMap。它基于 HashMap 但维护了一个链表,记录元素的插入顺序。
这样就不需要我们从 HashMap 中获取数据,然后再排序。
如果是需要保留有序的键值对,则可以使用 TreeMap。
如果是线程安全场景,则可以使用 ConcurrentHashMap。
Java 中的 HashMap 和 Hashtable 有什么区别?
线程安全性
HashMap:不是线程安全的。如果多个线程同时访问一个 HashMap,并且至少有一个线程在结构上修改了它(比如添加或删除键值对),可以通过以下代码封装进行同步:
Map<String, String> map = Collections.synchronizedMap(new HashMap<>()); |
Hashtable:是线程安全的。所有的方法都加了锁,可以在多线程环境中使用。
性能
HashMap:由于没有同步开销,所以它的性能一般比 Hashtable 更好,尤其是在单线程环境中。
Hashtable:由于每个方法都进行同步,因此性能比 HashMap 差。
null 值的处理
HashMap:允许一个 null 键和多个 null 值。
HashMap<String, String> map = new HashMap<>(); |
Hashtable:不允许 null 键和 null 值。如果将 null 键或值放入 Hashtable,会抛出 NullPointerException。
Hashtable<String, String> hashtable = new Hashtable<>(); |
其他
HashMap:默认初始容量为 16,负载因子为 0.75。使用 Iterator 遍历键值对,支持 fail-fast 机制,如果在遍历过程中结构发生变化,会抛出 ConcurrentModificationException
Hashtable:默认初始容量为 11,负载因子为 0.75。使用 Enumeration 遍历键值对,不支持 fail-fast 机制。
Hashtable 其实是过期的类,如果真的需要线程安全的容器,现在也都用 ConcurrentHashMap,因为它的加锁粒度更低,性能更好,Hashtable 基本没有使用场景。
ConcurrentHashMap 和 Hashtable 的区别是什么?
它们都是 Java 中常用的线程安全的哈希表实现,它们主要在性能有显著的差异。
因为在线程安全性上的实现方式不同,导致了它们性能上的差别:
- **
Hashtable**:Hashtable使用的是单一的锁机制(全表锁),即对整个哈希表进行同步,所有的操作(如插入、删除、查找等)都必须通过一个锁(synchronized)来保证线程安全。这种方式使得Hashtable在多线程环境下效率较低,因为无论是读取还是写入操作都需要获得锁,无法做到并发访问。 - **
ConcurrentHashMap**:在 Java 8 中,ConcurrentHashMap采用了CAS + synchronized的方式进行线程安全控制。CAS 用于无锁的写入操作。如果某个 Node 节点为空,则通过 CAS 将数据插入节点。如果不为空,则会退化到 synchronized。使用 synchronized 锁定冲突节点的头结点。这种锁的粒度更细,仅锁住特定的冲突节点,而非整个表,因此在并发访问时性能较好。高的并发性能。
null键值的允许情况:
ConcurrentHashMap:在ConcurrentHashMap中,是不允许null键和null值的。这是因为在并发环境下,null值可能会导致歧义,难以区分是因为初始值未设置还是因为键对应的值就是null。Hashtable:Hashtable也不允许null键和null值。这是因为Hashtable在设计时就规定键和值都不能为null,如果插入null键或null值,会抛出NullPointerException。
迭代操作异常情况:
ConcurrentHashMap:ConcurrentHashMap的迭代器具有弱一致性,在迭代过程中,即使其他线程修改了map,迭代器不会抛出ConcurrentModificationException,它会尽量反映出已经完成的修改。Hashtable:Hashtable的迭代器具有强一致性,在迭代过程中,如果map的结构被其他线程修改,会快速失败并抛出ConcurrentModificationException。
Java 中的 HashSet 和 HashMap 有什么区别?
HashSet 其实内部的实现还是 HashMap!
从上图我们可以发现,构造一个 HashSet 内部就是 new 了一个 HashMap,并且 add 方法实际上调用的就是 HashMap 的 put。
因此 HashSet 就是封装了一下 HashMap!内部的实现逻辑其实都由 HashMap 来代劳。







